
1. Планирование проектов (PERT/CPM)
В данной статье описывается разработка и применение методики планирования работ в рамках задач и проектирования баллистических ракет подводного базирования 1959 года. PERT (Program Evaluation Research Task) методология планирования задач, обеспечивающая оценку достигнутого прогресса, перспектив выполнения задач, обоснованности временных ограничений и графиков выполнения задач, последствий предлагаемых изменений в утвержденные планы.
На момент начала исследования в отделе планирования был разработанн график работ на несколько лет вперед. График включал в себя тысячи задач с приоритетами и сроками выполнения. График был неэффективен из-за того, что сроки задач были сжаты до неоптимальных временных интервалов, которые вели к срывам сроков.
Подход PERT считает необходимым подробную оценку временных ограничений поставленных задач.
Количество задач с высокой степенью временной неопределенности должно быть минимизировано. Лицо, которое ответственно за оценку задачи, должно иметь компетенции в предметной области задачи. Так же необходимо выявить и отразить последовательность выполнения работ, чтобы спланировать выполнение задач, к выполнению которых можно приступить только после завершения выполнения другой конкретной задачи или группы задач. Так же необходимо оценить критичность каждой задачи, чтобы описать у каких задач можно срывать сроки выполнения, а у каких срыв сроков выполнения отразится на сроках всего проекта.
В результате была представлена модель планирования сроков схожей с схемой решения задач многопоточных вычислений, которая описывает разделение задачи на независимые части, их параллельное выполнение и синхронизация.

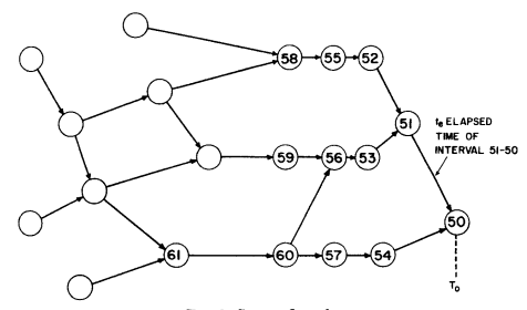
Каждый круг на графике описывает задачу, стрелками описывается порядок выполнения задач и описывает, какие задачи должны быть выполнены до начала выполнения текущей. Горизонтальное расположение задачи описывает конкретную временную точку, описывающую начало или конец выполнения задачи. Состояние проекта в каждую временную точку описывается затраченными ресурсами, техническими характеристиками и затраченным времененм.
Спустя 17 месяцев после начала исследования методология была внедрена в большую часть процессов.
2. Lean Construction
В данной статье описывается суть и практическое применение концепции бережливого строительства, как нового подхода к управлению проектами.
Авторы в своем подходе предлагают рассматривать в процессе планирования каждую отдельную задачу в рамках всего проекта. Авторы предлагают до начала планирования сформулировать цели, которые должен достичь проект, для того, чтобы в дальнейшем оценивать все отдельные задумки и планы по проекту в рамках полезности для достижения поставленных целей.
Эти принципы направлены на непрерывный поток работ, минимизацию промежуточных запасов и устранение потерь, таких как простои, переделки и избыточное ожидание.
Традиционный подход часто приводит к неопределённости и правкам, поскольку стремится ускорить каждую операцию в отрыве от общей цепочки.
В то же время бережливый подход требует, чтобы каждое действие инициировалось только тогда, когда оно необходимо для продолжения работ далее по потоку, что особенно актуально в условиях высокой вариативности, характерной для ремонта квартир.
К примеру не нужно закупать материалы для работы, которые планируется через несколько месяцев. Это ведет к заморозке финансов, необходимости выделения места для хранения материалов, затрате времени и сил на процесс закупки, который отвлекает от текущего процесса ремонта.
Необходимо выявлять, какие этапы действительно приносят пользу, а какие создают простои. Необходимо синхронизировать процесс выполнения строительных работ с привычной жизнью, чтобы поддерживать эффективность работ.
Необходимо ответственно отнестись к процессу планирования проекта до момента реализации.
Внесение изменений на моменте реализации проекта несет значительно большие издержки, чем на моменте проектирования.
В рамках задачи ремонта квартиры, внесение изменений в план ремонта на моменте реализации несет значительные финансовые, временные и трудозатратные издержки, особенно в случае, когда для внесеняия изменений необходим демонтаж прошлых решений.
3. Теория транзакционных издержек
В данной статье Оливер Уильямсон описывает подход к транзакционным издержкам.
При планировании задач необходимо посчитать какой вариант более выгодный — выполнить задачу своими силами или отдать выполнение задачи на аутсорс.
В данном выборе необходимо учитывать транзакционные издержки — затраты, которые тратятся на организацию работы с подрядчиками, такие как поиск подрядчика, составление договоров, выполнение работ контроля качества и прочие издержки.
При планировании ремонта квартиры зачастую используются разрозненные договоры с отдельными строительными бригадами, появляются высокие издержки согласования, особенно если работы разных строительных бригад требуют синхронизации и согласования.
В рамках задачи ремонта квартиры есть рыночная экономика, в случае выполнения достаточно простых работ можно выбрать строительную бригаду, которая предложит минимальную цену.
При необходимости выполнения сложных, специфичной работы, окажется, что данную работу может выполнить только одна строительная бригада, в таком случае необходимо выстраивать долгосрочные доверительные отношения со строительной бригадой, акцентируя внимание на оценку надежности и качестве контрагента, а не на ценовую политику.
Необходимо оценить какие этапы проектирования и ремонта имеют высокие риски и требуют глубокой вовлеченности, чтобы сосредоточиться именно на них, минимизируя вовлеченность в этапы с минимальными рисками.
Таким образом можно сделать вывод в каких случаях выгоднее делать ремонт самому. Если планируется выполнить простую работу с минимальными рисками, без необходимости вовлечения узконаправленных специалистов и если есть время, которое можно выделить на ремонт, то есть смысл выполнять ремонтные работы самостоятельно.
Если же планируется работа с высокими рисками, в какой-то узконаправленной сфере или в условиях высокой неопределенности проекта, то есть смысл обратиться к услугам строительной бригады.