
Введение
Я выбрала датасет student_habits_performance.csv, который содержит информацию о повседневных привычках студентов и их связи с академической успеваемостью. В этом наборе данных представлены такие показатели, как количество часов сна, время, уделяемое учёбе, использование социальных сетей, просмотр Netflix, наличие подработки, посещаемость, физическая активность, качество питания, уровень стресса, участие во внеучебных активностях и итоговые экзаменационные баллы.
Я нашла этот датасет на платформе Kaggle, где он был размещён как часть образовательного проекта по анализу поведения студентов.
Мне было интересно проанализировать именно эти данные, потому что они напрямую связаны с образом жизни студентов, включая такие аспекты, как сон, стресс, рацион, медиа-потребление и физическая активность. Поскольку я сама являюсь студенткой, мне хотелось узнать, какие именно привычки положительно или отрицательно влияют на успеваемость. Это исследование может быть полезным не только мне лично, но и другим студентам, преподавателям и наставникам, которые стремятся улучшить образовательный процесс.
Для визуализации данных я выбрала несколько разных типов графиков, чтобы получить более полное представление о поведении студентов и его влиянии на успеваемость:
Гистограммы (Histogram) — чтобы показать, как распределяются основные повседневные привычки, такие как учебное время, сон, соцсети и просмотр Netflix. Это помогает увидеть общие тенденции.
Диаграммы рассеяния (Scatter Plot) — чтобы исследовать возможные взаимосвязи между переменными, например, между количеством сна и экзаменационным баллом.
Boxplot (ящики с усами) — для сравнения уровня успеваемости среди студентов с разными поведенческими характеристиками, например, участвующих или не участвующих во внеучебной деятельности.
Круговые диаграммы (Pie Chart) — чтобы визуально представить распределение категориальных признаков, таких как качество интернета или уровень образования родителей.
Эти визуализации позволят мне исследовать как общие закономерности в данных, так и потенциальные причинно-следственные связи между образом жизни и академическим успехом.
В визуализациях используется кастомная цветовая палитра, отражающая тёплый, немного винтажный стиль, ассоциирующийся с академическим тоном и стабильностью. Для шрифта был выбран Pragmatica, поскольку он обладает высокой читаемостью и подходит для инфографики.
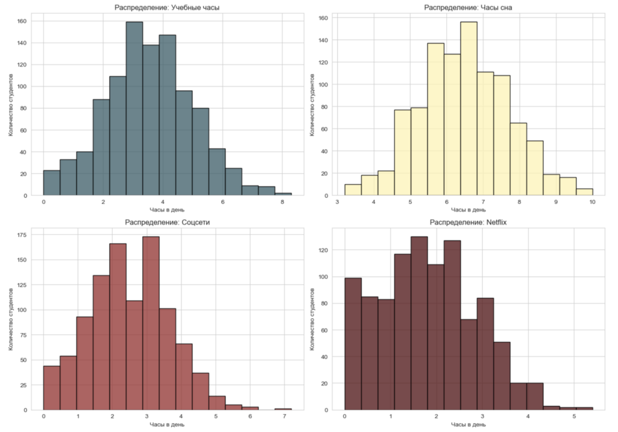
Гистограммы: Распределение повседневных привычек
Цель данной визуализации — изучить, как студенты распределяют своё время между основными повседневными активностями: учёбой, сном, использованием социальных сетей и просмотром контента на Netflix. Это позволяет выявить закономерности или перекосы в распорядке дня, которые потенциально могут повлиять на успеваемость.
Для отображения распределения времени по каждой из активностей была выбрана гистограмма, так как этот тип графика идеально подходит для анализа количественных данных. Гистограммы позволяют увидеть форму распределения (нормальное, скошенное и т. д.), а также определить типичное поведение студентов и выделить аномалии — например, студентов, тратящих чрезмерно много времени на соцсети или, наоборот, спящих необычно мало.
Вывод:
Гистограммы показывают различия во временных затратах студентов на повседневные привычки, такие как учёба, сон, использование социальных сетей и просмотр телевизора. Распределение времени, затраченного на учёбу, чаще всего сосредоточено в диапазоне 2–4 часов в день, что может указывать на умеренный уровень учебной нагрузки у большинства студентов. Сон в среднем занимает 6–8 часов, что соответствует рекомендуемым нормам, однако есть и студенты, спящие значительно меньше или больше. Время, проведённое в социальных сетях, варьируется, но многие студенты проводят там от 2 до 5 часов ежедневно, что может свидетельствовать о возможном отвлечении от учёбы. Наконец, просмотр телевизора занимает сравнительно меньше времени у большинства — до 2 часов в день. В целом, гистограммы позволяют оценить повседневные привычки студентов и предположить, какие из них могут потенциально влиять на академическую успеваемость.
Диаграммы рассеяния
Цель данной визуализации — проанализировать взаимосвязь между количеством часов сна студентов и их экзаменационными баллами. Сон — один из ключевых факторов, влияющих на когнитивные способности и концентрацию, поэтому важно понять, насколько он реально коррелирует с академической успеваемостью.
Для отображения взаимосвязи между двумя количественными переменными была выбрана диаграмма рассеяния. Этот тип графика позволяет не только наблюдать общую тенденцию, но и выделить индивидуальные отклонения и кластеры, например, студентов, получающих высокие баллы при малом количестве сна или наоборот.
Вывод:
Диаграмма рассеяния демонстрирует слабую положительную корреляцию между количеством сна и экзаменационным баллом: студенты, которые спят больше, в целом имеют тенденцию показывать лучшие результаты. Однако заметен разброс — встречаются как высокие, так и низкие баллы среди тех, кто спит и мало, и много. Это может свидетельствовать о том, что сон — лишь один из множества факторов, влияющих на успеваемость. Также интересно, что распределение по полу не демонстрирует выраженных различий в зависимости между сном и результатами.
Boxplot (ящики с усами)
Цель данной визуализации — сравнить уровни академической успеваемости между двумя группами студентов: тех, кто участвует во внеучебной деятельности, и тех, кто не принимает в ней участие. Такие активности могут включать спорт, волонтёрство, творческие кружки и другие инициативы, которые часто связаны с развитием организованности и навыков саморегуляции.
Для анализа была выбрана диаграмма boxplot (ящик с усами), которая идеально подходит для сравнения распределения значений между категориями. Она позволяет не только оценить медианные значения экзаменационных баллов в каждой группе, но и выявить разброс, выбросы и симметричность распределения.
Вывод:
Boxplot показывает, что медиана экзаменационного балла у студентов, участвующих во внеучебной деятельности, немного выше, чем у тех, кто в ней не участвует. Также у этой группы наблюдается более узкий интерквартильный размах, что может указывать на большую стабильность результатов. Тем не менее, в обеих группах встречаются выбросы, что говорит о высоком индивидуальном разбросе. Различие в успеваемости нельзя считать кардинальным, но тренд в пользу вовлечённых студентов прослеживается.
Круговые диаграммы (Pie Chart)
Цель данной визуализации — показать распределение студентов по двум важным категориальным признакам: качеству интернет-соединения и уровню образования родителей. Эти факторы могут влиять на образовательные возможности: доступ к онлайн-материалам, помощь в учебе дома, условия для выполнения заданий.
Для визуального отображения распределения категориальных переменных были выбраны круговые диаграммы. Такой формат позволяет быстро оценить долю каждой категории и выявить преобладающие условия среди студентов. Круговые диаграммы хорошо подходят для наглядного сравнения состава выборки по дискретным характеристикам.
Вывод:
Круговая диаграмма по качеству интернета показывает, что большинство студентов имеют хорошее или среднее подключение, однако присутствует и значительная доля с плохим интернетом, что может затруднять дистанционное обучение. Диаграмма по уровню образования родителей демонстрирует, что большая часть студентов выросли в семьях, где родители окончили колледж или магистратуру, что может положительно влиять на академические ожидания и поддержку. Такое распределение даёт общее представление о социально-образовательном фоне студентов.
Заключение:
В рамках данного проекта был проведён визуальный анализ набора данных student_habits_performance.csv, отражающего повседневные привычки студентов и их связь с академической успеваемостью. Этот анализ позволил рассмотреть, как такие факторы, как количество сна, участие во внеучебных активностях, качество интернета и образовательный фон семьи, соотносятся с результатами экзаменов.
Гистограммы помогли выявить повседневные паттерны: большинство студентов проводят около 5 часов в день за учёбой и 6–8 часов во сне, при этом значительное количество времени также уходит на социальные сети и Netflix. Диаграмма рассеяния показала слабую положительную тенденцию между количеством сна и экзаменационными баллами, особенно среди студентов с 7–8 часами сна. Boxplot визуализация подтвердила, что участие во внеучебной деятельности связано с чуть более высокими медианными баллами и меньшим разбросом результатов, что может свидетельствовать о роли организованности и социальной активности. Круговые диаграммы продемонстрировали, что большая часть студентов имеют доступ к интернету среднего или хорошего качества, а также происходят из семей с высшим или средне-специальным образованием родителей.
Таким образом, визуализации подтвердили важность баланса между учёбой, отдыхом и активным образом жизни. Полученные результаты подчеркивают, что академическая успеваемость студентов формируется под воздействием множества факторов, и комплексный подход к образу жизни может способствовать её улучшению.