
Описание проекта
Комиксы, фильмы и сериалы о супергероях давно стали неотъемлемой частью нашей повседневности. Когда мы думаем о супергероях, нам часто кажется, что мужские и женские персонажи обладают определенными наборами способностей: одни ассоциируются с силой и выносливостью, другие — с интеллектом и скоростью. Я задалась вопросом: так ли это на самом деле? Что, если посмотреть на героев не как на образы, а как на набор числовых характеристик?
По этой причине для проекта я решила обратиться к открытому датасету Superhero Power Analytics с платформы Kaggle. Этот датасет содержит информацию о нескольких сотнях персонажей комиксов, включая их имя, пол, роль (герой/злодей/нейтральный персонаж), принадлежность к издателю (Marvel, DC и другие) и числовые оценки ключевых характеристик: intelligence (интеллект), strength (сила), speed (скорость), durability (выносливость), power (мощь), combat (боевые навыки). Все эти характеристики оценены по шкале от 0 до 100 для каждого персонажа.

фрагмент из фильма «Железный человек» (Iron Man, 2008, реж. Джон Фавро)
Мы привыкли видеть героев-мужчин в комиксах сильными, мощными и непробиваемыми, а женщин — быстрыми и ловкими. Мне стала интересно узнать, насколько эти стереотипы оправданы, и действительно ли существует такое строгое разделение. С помощью анализа данного датасета, я бы хотела понять, насколько гендерные различия влияют на характеристики персонажей и проверить некоторые распространенные стереотипы:
• Представляют ли женщины в комиксах больше умных и ловких персонажей, а мужчины — сильных и выносливых? • Насколько гендерные различия влияют на распределение характеристик (например, боевые навыки и выносливость — для мужчин, интеллект и скорость — для женщин)?
Найденный мной датасет достаточно большой и структурированный: в нем собраны данные о 675 персонажах и 26 характеристиках каждого, включая пол и числовые оценки способностей.
Благодаря этому можно проверить существование гендерных различий с помощью данных — сравнить средние значения, посмотреть распределения и выявить закономерности с помощью визуализаций.
В проекте я решила использовать несколько видов графиков, чтобы показать разные аспекты анализа:
• Столбчатые диаграммы — для сравнения средних значений характеристик у мужчин и женщин. • Диаграммы размаха — просмотр распределения характеристик и разброса значений внутри каждой группы. • Тепловая карта корреляций — для выявления связей между характеристиками и понимания, что сильнее связано с итоговым показателем. • Лепестковая диаграмма — для комплексного сравнения «среднего» супергероя и «средней» супергероини по всем характеристикам сразу. • Диаграммы рассеяния — для анализа парных зависимостей между показателями и поиска трендов. • Сводная сравнительная диаграмма рассеяния — финальная визуализация для сопоставления двух групп и демонстрации различий в типичных сочетаниях характеристик.
Благодаря использованию таких видов графиков мой анализ сочетает в себе изучающий и объясняющий подходы к визуализации данных: часть графиков необходима для выявления закономерностей и проверки гипотез, другая — для четкого и наглядного представления полученных результатов.
Использованные статистические методы
В ходе анализа данных были применены методы описательной и разведочной статистики:
• Описательная статистика — для расчета средних значений характеристик супергероев по полу. Это позволило количественно сравнить типичные значения силы, интеллекта, скорости и других параметров у мужских и женских персонажей.
• Сравнительный анализ групп — использовался для выявления различий между мужчинами и женщинами по основным характеристикам.
• Анализ распределений — выполнен с помощью диаграмм размаха, что позволило оценить медианы, разброс значений, межквартильные интервалы и наличие выбросов внутри каждой гендерной группы.
• Корреляционный анализ — был проведен для выявления связей между характеристиками персонажей, а также их вклада в общий показатель силы (Total).
• Визуальный анализ взаимосвязей— применен через диаграммы рассеяния, позволяющие изучить характер зависимостей между отдельными парами характеристик и сравнить их между гендерными группами.
Стилизация данных
Для визуализации данных я решила выбрать палитру, которая отражает характер супергеройских комиксов и перекликается с броскими образами персонажей. Вдохновением также послужили стереотипные цветовые ассоциации с полами — мужские персонажи обычно ассоциируются с более темными и холодными оттенками, а женские — с яркими и энергичными.
фрагмент из фильма «Чудо-женщина» (Wonder Woman, 2017, реж. Пэтти Дженкинс)
При создании палитры я использовала нейросеть ChatGPT, попросив подобрать мне оттенки, которые бы подходили к теме супергероев и гендерных различий. В результате я получила подборку цветов, которые и использовала в проекте:
1. #0074D9 — синий, символизирующий мужских персонажей с физической мощью и стойкостью. 2. #FF4136 — красный, который ассоциируется с женскими персонажами, отражая их энергию. 3. #AAAAAA — серый для неизвестных или других персонажей, чьи гендерные данные отсутствуют или не определены. 4. #FFDC00 — яркий желтый, как акцентный цвет для выделения ключевых элементов и важных данных в проекте. 5. #333333 — темно-серый для фона и сетки, создающий контраст и выделяющий данные, улучшая восприятие графиков.
Кроме того, я выбрала шрифт Comic Sans для оформления надписей в графиках как стилистическую отсылку к комиксной культуре, потому что мой проект напрямую связан с супергероями и визуальным языком комиксов. Этот шрифт помог сразу задать нужное настроение, не превращая визуализацию данных в сухую академическую статистику.
Подготовка данных и настройка визуального стиля
На первом этапе я настроила единый визуальный стиль для всех графиков и шрифт, чтобы визуализация соответствовала тематике супергероев, но при этом оставалась читаемой.
Далее был загружен датасет и выполнена базовая очистка данных: оставлены только персонажи с указанным полом (Male и Female), характеристики (интеллект, сила, скорость, выносливость, мощь, боевые навыки) приведены к числовому формату, удалены строки с пропущенными значениями, рассчитан дополнительный показатель Total Power как сумма всех ключевых характеристик. Эта подготовка позволила в дальнейшем корректно сравнивать персонажей по полу и проводить анализ.
Настройка стиля и очистка данных
График № 1. Средние показатели характеристик героев и героинь
На первом этапе анализа было проведено сравнение средних значений ключевых характеристик супергероев в зависимости от пола. Полученная столбчатая диаграмма позволила выявить общие гендерные тенденции и определить, какие способности демонстрируют наибольшие различия между мужскими и женскими персонажами.
Средние показатели характеристик героев и героинь // код
График показал, что средние значения характеристик у женских персонажей оказываются выше по всем показателям. Однако такой результат отражает лишь усредненную картину и не учитывает распределение значений внутри групп. Поэтому на следующих этапах анализа было важно рассмотреть вариативность, выбросы и формы распределений характеристик.
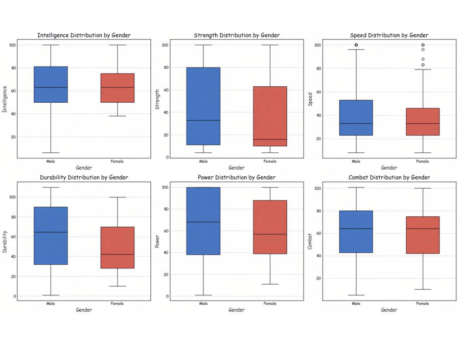
График № 2. Распределение характеристик по полу
Если столбчатая диаграмма показывала обобщенную картину на уровне средних значений, то анализ с помощью диаграммы размаха позволил увидеть внутреннюю структуру данных и понять, за счет чего именно формируются эти средние показатели.
На графике были представлены диаграммы размаха для шести ключевых характеристик персонажей: intelligence (интеллект), strength (сила), speed (скорость), durability (выносливость), power (мощь), combat (боевые навыки), отдельно для мужских и женских персонажей. Каждая диаграмма показывала медианное значение характеристики, межквартильный размах, минимальные и максимальные значения, выбросы (персонажи с экстремально высокими или низкими показателями).
Распределение характеристик по полу // код
Диаграммы размаха продемонстрировали, что различия между мужчинами и женщинами не ограничиваются только средними значениями, но проявляются и в форме распределений. Для ряда характеристик (например, сила и выносливость) у мужских персонажей наблюдается более широкий разброс значений, что указывает на большую неоднородность группы — от слабых до крайне сильных персонажей. В то же время у женских персонажей распределения часто оказываются более компактными, с меньшим количеством экстремальных значений.
При этом по некоторым характеристикам, таким как интеллект и боевые навыки, значения у мужчин и женщин часто оказываются в одних и тех же интервалах — это свидетельствует о том, что гендерные различия не носят абсолютного характера и внутри групп присутствует большое разнообразие.
График № 3. Корреляционная карта характеристик
После анализа средних значений и распределений характеристик мне было важно понять, как сами способности связаны между собой. Отдельные показатели могут усиливать друг друга и формировать более общую «модель силы» персонажа. Поэтому на следующем этапе я перешла к анализу корреляций между ключевыми характеристиками супергероев.
На тепловой карте отображены коэффициенты корреляции между основными характеристиками персонажей, а также их суммарным показателем (Total). Цветовая шкала отражает силу связи: теплые оттенки — сильная положительная корреляция, холодные — слабая связь.
Корреляционная карта характеристик // код
Корреляционный анализ показал, что суммарная мощь персонажа в наибольшей степени формируется за счет физических характеристик. Наиболее сильные связи наблюдаются между: 1. strength и durability (≈ 0.68) 2. strength и Total (≈ 0.81) 3. durability и Total (≈ 0.80) 4. power и Total (≈ 0.71).
В то же время интеллект и боевые навыки демонстрируют умеренные или слабые корреляции с другими характеристиками, что говорит о более автономной роли этих показателей. Таким образом, несмотря на значимость интеллектуальных и тактических способностей, общая сила персонажа в комиксах в первую очередь определяется физическими параметрами, что важно учитывать при интерпретации гендерных различий, выявленных на предыдущих этапах анализа.
График № 4. Средний портрет персонажей
После анализа распределений отдельных характеристик мне было интересно собрать картину целиком и посмотреть, как в среднем выглядит «типичный» мужской и женский супергерой. Для этого я использовала лепестковую диаграмму, которая позволяет одновременно сравнить несколько показателей и наглядно увидеть общий профиль персонажей.
Средний портрет персонажей // код
График показал, что мужские персонажи в среднем превосходят женских по физически ориентированным характеристикам — силе, выносливости и мощности. При этом различия в интеллекте и боевых навыках значительно менее выражены. В целом лепестковая диаграмма подтверждает существование гендерной асимметрии в репрезентации способностей супергероев: мужчины чаще изображаются как физически доминирующие персонажи, тогда как женские образы выглядят более сбалансированными, но с меньшим акцентом на грубую силу.
График № 5. Взаимосвязь ключевых характеристик по полу
После анализа средних значений и распределений характеристик необходимо было выяснить не только, кто сильнее или умнее в среднем, но и как именно эти способности сочетаются внутри каждой гендерной группы. Для этого я перешла к диаграммам рассеяния, которые позволили увидеть взаимосвязь между двумя ключевыми характеристиками одновременно.
Взаимосвязь ключевых характеристик по полу // код
Можно увидеть, что у мужских персонажей наблюдается положительная связь между силой и выносливостью: по мере роста силы чаще увеличивается и выносливость. Это говорит о том, что мужские персонажи в комиксах чаще конструируются как физически «цельные» — сила сопровождается устойчивостью и способностью выдерживать длительные нагрузки. Такой паттерн соответствует традиционному архетипу физически доминирующего героя. Для женских персонажей связь между интеллектом и скоростью выражена слабее и более вариативна. Однако заметно, что высокий интеллект часто сочетается со средней или высокой скоростью, а крайние значения встречаются реже. Это указывает на иной тип конструирования персонажей: женские героини чаще представлены как гибкие, адаптивные и тактически ориентированные.
Диаграммы рассеяния показали, что гендерные различия проявляются не только в уровне отдельных характеристик, но и в логике их сочетания. Мужские персонажи чаще описываются через связку физических параметров, тогда как женские — через комбинацию когнитивных и динамических качеств. Таким образом, визуализация подтвердила гипотезу о том, что гендерные различия в комиксах проявляются на уровне архетипов, а не просто средних значений.
График № 6. Гендерные паттерны
После анализа средних значений, распределений и корреляций отдельных характеристик, я решила объединить ключевые результаты в одном обобщающем визуальном сравнении. Для этого я выбрала те пары характеристик, которые чаще всего ассоциируются с гендерными стереотипами в массовой культуре: сила и выносливость — для мужских персонажей, и интеллект и скорость — для женских.
На графике одновременно показаны два распределения: синие точки — мужские персонажи, отражающие связь между силой и выносливостью, красные точки — женские, отражающие связь между интеллектом и скоростью. Оси намеренно совмещены, чтобы визуально сопоставить не конкретные значения, а структуру распределений и плотность данных.
Гендерные паттерны // код
Этот график наглядно продемонстрировал, что для мужских персонажей наблюдается выраженный кластер, где высокая сила часто сочетается с высокой выносливостью. Это формирует образ физически доминирующего, устойчивого героя, ориентированного на прямое силовое противостояние. В то же время у женских персонажей более заметна связка интеллекта и скорости, что указывает на иной тип «мощи» — через тактическое мышление, реакцию и гибкость, а не через физическую устойчивость.
Вывод
В ходе анализа датасета Super Heroes Dataset было показано, что гендерные различия в комиксах проявляются не только на уровне отдельных характеристик, но и в общей логике конструирования персонажей. Хотя средние значения многих способностей у мужских и женских персонажей оказываются сопоставимыми, различия становятся заметными при более глубоком рассмотрении распределений, взаимосвязей и комбинаций характеристик.
Мужские персонажи в целом чаще формируются вокруг физических параметров — прежде всего силы и выносливости, которые между собой демонстрируют устойчивую положительную связь. Это отражает традиционный образ героя, ориентированного на прямое противостояние и физическую устойчивость. Женские персонажи, напротив, чаще характеризуются сочетанием интеллекта и скорости, что указывает на иной тип героизма — основанный на мышлении, реакции и тактическом превосходстве. При этом супергероини демонстрируют не меньшую вариативность и потенциал, а различия проявляются скорее в акцентах, чем в общем уровне «мощи».
Таким образом, проведенный анализ подтвердил, что гендерные различия в комиксах носят структурный, а не количественный характер: персонажи разных полов наделяются разными наборами ключевых способностей, отражающих устойчивые культурные и нарративные паттерны.
Описание применения генеративной модели и других инструментов
1. Kaggle — поиск датасета и его скачивание.
2. Jupyter Notebook — проведение анализа данных (написание кода, визуализация).
3. Библиотеки Python: • pandas — для загрузки датасета, очистки данных и расчета статистических показателей (средние значения, группировка по полу, создание новых признаков). • numpy — для числовых операций и работы с массивами данных (в том числе при построении лепестковых диаграмм). • matplotlib — основная библиотека для построения и настройки графиков, управления размерами, шрифтами, цветами и композицией визуализаций. • seaborn — для создания статистических графиков с улучшенным визуальным стилем.
4. ChatGPT — подбор цветовой палитры (промпт: Suggest a color palette (in hex format) that reflects the gender differences in superhero characters and is suitable for dataset visualization), помощь с исправлением возникавших ошибок при написании кода.
5. Ideogram.ai — генерация обложки (промпт: Comic-book inspired data analysis illustration: two abstract male and female superhero silhouettes facing each other, formed from simple charts and data points. Emphasis on gender comparison and research/analytics mood. Flat vector style, subtle halftone texture, vibrant colored background. Limited palette: blue, red, yellow, black. No text, no logos, no face).
6. Leonardo.ai — генерация стилизованной надписи «End» (промпт: Comic book explosion speech bubble with «END», centered and fully visible (no cropping). Dynamic starburst shape, bold hand-drawn lettering, thick black outline. Flat vector pop-art style with subtle halftone dots. Classic colors only: blue, red, yellow, black. Isolated sticker, transparent/no background, minimal details, high contrast).